classwork for bimm143
Eric Wang (PID: A17678188)
Today we will begin our exploration of some important machine learning methods, namely clusterring and dimensionality reduction.
Let’s make up some input data for clustering where we know what the natural “clusters” are.
The function rnorm() can be useful here.
hist(rnorm(5000, 300, 5))

Q. Generate 30 random numbers centered at + 3 and -3
tmp <- c(rnorm(30, 3), rnorm(30,-3))
x <- cbind(x= tmp, y=rev(tmp))
plot(x)

The main function in “base R” for K-means clustering is called
kmeans() :
km <- kmeans(x, 2)
km
K-means clustering with 2 clusters of sizes 30, 30
Cluster means:
x y
1 3.040158 -2.823266
2 -2.823266 3.040158
Clustering vector:
[1] 1 1 1 1 1 1 1 1 1 1 1 1 1 1 1 1 1 1 1 1 1 1 1 1 1 1 1 1 1 1 2 2 2 2 2 2 2 2
[39] 2 2 2 2 2 2 2 2 2 2 2 2 2 2 2 2 2 2 2 2 2 2
Within cluster sum of squares by cluster:
[1] 72.00178 72.00178
(between_SS / total_SS = 87.7 %)
Available components:
[1] "cluster" "centers" "totss" "withinss" "tot.withinss"
[6] "betweenss" "size" "iter" "ifault"
Q. What component of the results object details the cluster sizes?
km$size
[1] 30 30
Q. What component of the results object details the cluster centers?
km$centers
x y
1 3.040158 -2.823266
2 -2.823266 3.040158
Q. What component of the results object details the cluster membership vector (i.e. our main result of which points lie in which cluster)
km$cluster
[1] 1 1 1 1 1 1 1 1 1 1 1 1 1 1 1 1 1 1 1 1 1 1 1 1 1 1 1 1 1 1 2 2 2 2 2 2 2 2
[39] 2 2 2 2 2 2 2 2 2 2 2 2 2 2 2 2 2 2 2 2 2 2
Q. Plot our clustering results with points colored by cluster and also add the cluster centers as new points colored blue?
plot(x,col=km$cluster)
points(km$centers, col="blue",pch=15)

Q. Run
kmeans()again and this time produce 4 clusters and call your result objectk4
k4 <- kmeans(x, 4)
plot(x, col= k4$cluster)
points(k4$centers, col="blue", pch=15)

The metric
k4$tot.withinss
[1] 77.10121
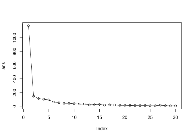
Q. Let’s try different number of K(centers) from 1 to 30 and see what the best result is?
ans <- NULL
for (i in 1:30){
ans <- c(ans, kmeans(x,centers = i)$tot.withinss)
}
ans
[1] 1175.395784 144.003560 110.552385 100.387746 91.840272 59.692147
[7] 50.051802 40.980034 40.985596 35.809693 28.538243 29.928725
[13] 19.349694 21.391764 24.792929 14.511127 20.430834 16.142912
[19] 11.008448 11.559613 9.971152 8.185676 7.569056 8.485052
[25] 6.375357 5.643409 12.995677 6.918082 4.571490 3.937595
plot(ans,typ= "o")

tot.withnss shows how tight the cluster it is. The lower the value the
tighter the clusters group.
Key-Point: K-means will impose a clustering structure on your data even if it is not there - it will always give you the answer you asked for even if that answer is silly!
The main function for Hierarchical Clustering is called hclust().
Unlike kmeans() (which does all the work for you) you can’t just pass
hclust() our raw input data. It needs a “distance matrix” like the one
returned from the dist() function.
d <- dist(x)
hc <- hclust(d)
plot(hc)

To extract our cluster membership vector from a hclust() result object
we have to “cut” our tree at a given height to yield separate
“groups”/“branches”.
To do this we use the cutree() function on our hclust() objection:
grps <- cutree(hc,h=8)
grps
[1] 1 1 1 1 2 1 1 1 1 1 1 1 1 2 1 1 1 1 1 2 1 1 1 1 1 1 1 1 1 1 3 3 3 3 3 3 3 3
[39] 3 3 2 3 3 3 3 3 2 3 3 3 3 3 3 3 3 2 3 3 3 3
table(grps, km$cluster)
grps 1 2
1 27 0
2 3 3
3 0 27
Import the data set of food consumption in the UK
url <- "https://tinyurl.com/UK-foods"
x <- read.csv(url)
x
X England Wales Scotland N.Ireland
1 Cheese 105 103 103 66
2 Carcass_meat 245 227 242 267
3 Other_meat 685 803 750 586
4 Fish 147 160 122 93
5 Fats_and_oils 193 235 184 209
6 Sugars 156 175 147 139
7 Fresh_potatoes 720 874 566 1033
8 Fresh_Veg 253 265 171 143
9 Other_Veg 488 570 418 355
10 Processed_potatoes 198 203 220 187
11 Processed_Veg 360 365 337 334
12 Fresh_fruit 1102 1137 957 674
13 Cereals 1472 1582 1462 1494
14 Beverages 57 73 53 47
15 Soft_drinks 1374 1256 1572 1506
16 Alcoholic_drinks 375 475 458 135
17 Confectionery 54 64 62 41
Q1. How many rows and columns are in your new data frame named x? What R functions could you use to answer this questions?
dim(x)
[1] 17 5
One soltion to set the row names is by hand…
#rownames(x)
rownames(x) <- x[,1]
To remove the first column I can use the minus index trick
x <- x[,-1]
x
England Wales Scotland N.Ireland
Cheese 105 103 103 66
Carcass_meat 245 227 242 267
Other_meat 685 803 750 586
Fish 147 160 122 93
Fats_and_oils 193 235 184 209
Sugars 156 175 147 139
Fresh_potatoes 720 874 566 1033
Fresh_Veg 253 265 171 143
Other_Veg 488 570 418 355
Processed_potatoes 198 203 220 187
Processed_Veg 360 365 337 334
Fresh_fruit 1102 1137 957 674
Cereals 1472 1582 1462 1494
Beverages 57 73 53 47
Soft_drinks 1374 1256 1572 1506
Alcoholic_drinks 375 475 458 135
Confectionery 54 64 62 41
A better way to do this is to set the row names to the first collumn
with read.csv()
x <- read.csv(url, row.names = 1)
x
England Wales Scotland N.Ireland
Cheese 105 103 103 66
Carcass_meat 245 227 242 267
Other_meat 685 803 750 586
Fish 147 160 122 93
Fats_and_oils 193 235 184 209
Sugars 156 175 147 139
Fresh_potatoes 720 874 566 1033
Fresh_Veg 253 265 171 143
Other_Veg 488 570 418 355
Processed_potatoes 198 203 220 187
Processed_Veg 360 365 337 334
Fresh_fruit 1102 1137 957 674
Cereals 1472 1582 1462 1494
Beverages 57 73 53 47
Soft_drinks 1374 1256 1572 1506
Alcoholic_drinks 375 475 458 135
Confectionery 54 64 62 41
Q2. Which approach to solving the ‘row-names problem’ mentioned above do you prefer and why? Is one approach more robust than another under certain circumstances?
barplot(as.matrix(x), beside=T, col=rainbow(nrow(x)))

barplot(as.matrix(x), beside=F, col=rainbow(nrow(x)))

pairs(x, col=rainbow(nrow(x)), pch=16)

library(pheatmap)
pheatmap( as.matrix(x) )

The main PCA function in “base R” is called prcomp(). This function
wants the transpose of our food data as input (i.e. the foods as columns
and the countries as rows).
pca <- prcomp(t(x))
summary(pca)
Importance of components:
PC1 PC2 PC3 PC4
Standard deviation 324.1502 212.7478 73.87622 3.176e-14
Proportion of Variance 0.6744 0.2905 0.03503 0.000e+00
Cumulative Proportion 0.6744 0.9650 1.00000 1.000e+00
attributes(pca)
$names
[1] "sdev" "rotation" "center" "scale" "x"
$class
[1] "prcomp"
To make one of main PCA result figures we turn to pca$x the scores
along our new PCs. This is called “PC plot” or “score plot” or
“Ordination plot” …
library(ggplot2)
my_cols <- c("orange", "red", "lightblue", "lightyellow")
ggplot(pca$x)+ aes(PC1,PC2, label= rownames(pca$x)) +
geom_point(col= my_cols)

the second major result figure is called a “loadings plot” of “variable contributions plot” or “weight plot”
ggplot(pca$rotation) +
aes(PC1,rownames(pca$rotation)) +
geom_col()
