Class 9: Candy Mini-Project

Author

Eric Wang A17678188

candy <- read.csv("https://raw.githubusercontent.com/fivethirtyeight/data/master/candy-power-ranking/candy-data.csv", row.names = 1)

head(candy)
             chocolate fruity caramel peanutyalmondy nougat crispedricewafer
100 Grand            1      0       1              0      0                1
3 Musketeers         1      0       0              0      1                0
One dime             0      0       0              0      0                0
One quarter          0      0       0              0      0                0
Air Heads            0      1       0              0      0                0
Almond Joy           1      0       0              1      0                0
             hard bar pluribus sugarpercent pricepercent winpercent
100 Grand       0   1        0        0.732        0.860   66.97173
3 Musketeers    0   1        0        0.604        0.511   67.60294
One dime        0   0        0        0.011        0.116   32.26109
One quarter     0   0        0        0.011        0.511   46.11650
Air Heads       0   0        0        0.906        0.511   52.34146
Almond Joy      0   1        0        0.465        0.767   50.34755

Q1. How many different candy types are in this dataset?

ncol(candy)
[1] 12

Q2. How many fruity candy types are in the dataset?

sum(candy$fruity)
[1] 38

winpercent is the value of the percetnage of people who prefer this candy over another randomly chosen from the data set.

candy["Twix",]$winpercent
[1] 81.64291
library(dplyr)

Attaching package: 'dplyr'
The following objects are masked from 'package:stats':

    filter, lag
The following objects are masked from 'package:base':

    intersect, setdiff, setequal, union
candy |> 
  filter(row.names(candy)=="Twix") |> 
  select(winpercent)
     winpercent
Twix   81.64291

Q3. What is your favorite candy (other than Twix) in the dataset and what is it’s winpercent value?

winpa <- function(x) {candy |> 
  filter(row.names(candy)==x) |> 
  select(winpercent)}
winpa("Welch's Fruit Snacks")
                     winpercent
Welch's Fruit Snacks   44.37552

Q3-4. What is the winpercent value for kit kat and toosie rool snack bars?

winpa("Kit Kat")
        winpercent
Kit Kat    76.7686
winpa("Tootsie Roll Snack Bars")
                        winpercent
Tootsie Roll Snack Bars    49.6535
library("skimr")

skim(candy)
Data summary
Name candy
Number of rows 85
Number of columns 12
_______________________
Column type frequency:
numeric 12
________________________
Group variables None

Variable type: numeric

skim_variable n_missing complete_rate mean sd p0 p25 p50 p75 p100 hist
chocolate 0 1 0.44 0.50 0.00 0.00 0.00 1.00 1.00 ▇▁▁▁▆
fruity 0 1 0.45 0.50 0.00 0.00 0.00 1.00 1.00 ▇▁▁▁▆
caramel 0 1 0.16 0.37 0.00 0.00 0.00 0.00 1.00 ▇▁▁▁▂
peanutyalmondy 0 1 0.16 0.37 0.00 0.00 0.00 0.00 1.00 ▇▁▁▁▂
nougat 0 1 0.08 0.28 0.00 0.00 0.00 0.00 1.00 ▇▁▁▁▁
crispedricewafer 0 1 0.08 0.28 0.00 0.00 0.00 0.00 1.00 ▇▁▁▁▁
hard 0 1 0.18 0.38 0.00 0.00 0.00 0.00 1.00 ▇▁▁▁▂
bar 0 1 0.25 0.43 0.00 0.00 0.00 0.00 1.00 ▇▁▁▁▂
pluribus 0 1 0.52 0.50 0.00 0.00 1.00 1.00 1.00 ▇▁▁▁▇
sugarpercent 0 1 0.48 0.28 0.01 0.22 0.47 0.73 0.99 ▇▇▇▇▆
pricepercent 0 1 0.47 0.29 0.01 0.26 0.47 0.65 0.98 ▇▇▇▇▆
winpercent 0 1 50.32 14.71 22.45 39.14 47.83 59.86 84.18 ▃▇▆▅▂

Q6. Is there any variable/column that looks to be on a different scale to the majority of the other columns in the dataset?

winpercent variable is on a much larger scale than the others

Q7. What do you think a zero and one represent for the candy$chocolate column?

candy$chocolate
 [1] 1 1 0 0 0 1 1 0 0 0 1 0 0 0 0 0 0 0 0 0 0 0 1 1 1 1 0 1 1 0 0 0 1 1 0 1 1 1
[39] 1 1 1 0 1 1 0 0 0 1 0 0 0 1 1 1 1 0 1 0 0 1 0 0 1 0 1 1 0 0 0 0 0 0 0 0 1 1
[77] 1 1 0 1 0 0 0 0 1

It means that if a candy has chocolate in it, it will be 1 if not, then it will be 0.

Exploratory analysis

Q8. Plot a histogram of winpercent values using both base R an ggplot2.

library(ggplot2)

ggplot(candy) +  aes(winpercent) + geom_histogram(bins = 8)

hist(candy$winpercent)

Q9. Is the distribution of winpercent values symmetrical?

The distribution of winpercent values are right skewed

Q10. Is the center of the distribution above or below 50%?

ggplot(candy) +  aes(winpercent) + geom_boxplot()

print(median(candy$winpercent))
[1] 47.82975

The center of the distribution is below 50%

Q11. On average is chocolate candy higher or lower ranked than fruit candy?

chocoavg <- candy$winpercent[candy$chocolate == 1]
mean(chocoavg)
[1] 60.92153
fruitavg <- candy$winpercent[candy$fruity == 1]
mean(fruitavg)
[1] 44.11974

On average, the chocolate candy is higher ranked than fruit candy

Q12. Is this difference statistically significant?

t.test(chocoavg, fruitavg)

    Welch Two Sample t-test

data:  chocoavg and fruitavg
t = 6.2582, df = 68.882, p-value = 2.871e-08
alternative hypothesis: true difference in means is not equal to 0
95 percent confidence interval:
 11.44563 22.15795
sample estimates:
mean of x mean of y 
 60.92153  44.11974 

p-value is very small so the difference is statistically significant

Q13. What are the five least liked candy types in this set?

candy |> arrange(winpercent) |> head(5)
                   chocolate fruity caramel peanutyalmondy nougat
Nik L Nip                  0      1       0              0      0
Boston Baked Beans         0      0       0              1      0
Chiclets                   0      1       0              0      0
Super Bubble               0      1       0              0      0
Jawbusters                 0      1       0              0      0
                   crispedricewafer hard bar pluribus sugarpercent pricepercent
Nik L Nip                         0    0   0        1        0.197        0.976
Boston Baked Beans                0    0   0        1        0.313        0.511
Chiclets                          0    0   0        1        0.046        0.325
Super Bubble                      0    0   0        0        0.162        0.116
Jawbusters                        0    1   0        1        0.093        0.511
                   winpercent
Nik L Nip            22.44534
Boston Baked Beans   23.41782
Chiclets             24.52499
Super Bubble         27.30386
Jawbusters           28.12744

Q14. What are the top 5 all time favorite candy types out of this set?

candy %>% arrange(desc(winpercent)) %>% head(5)
                          chocolate fruity caramel peanutyalmondy nougat
Reese's Peanut Butter cup         1      0       0              1      0
Reese's Miniatures                1      0       0              1      0
Twix                              1      0       1              0      0
Kit Kat                           1      0       0              0      0
Snickers                          1      0       1              1      1
                          crispedricewafer hard bar pluribus sugarpercent
Reese's Peanut Butter cup                0    0   0        0        0.720
Reese's Miniatures                       0    0   0        0        0.034
Twix                                     1    0   1        0        0.546
Kit Kat                                  1    0   1        0        0.313
Snickers                                 0    0   1        0        0.546
                          pricepercent winpercent
Reese's Peanut Butter cup        0.651   84.18029
Reese's Miniatures               0.279   81.86626
Twix                             0.906   81.64291
Kit Kat                          0.511   76.76860
Snickers                         0.651   76.67378
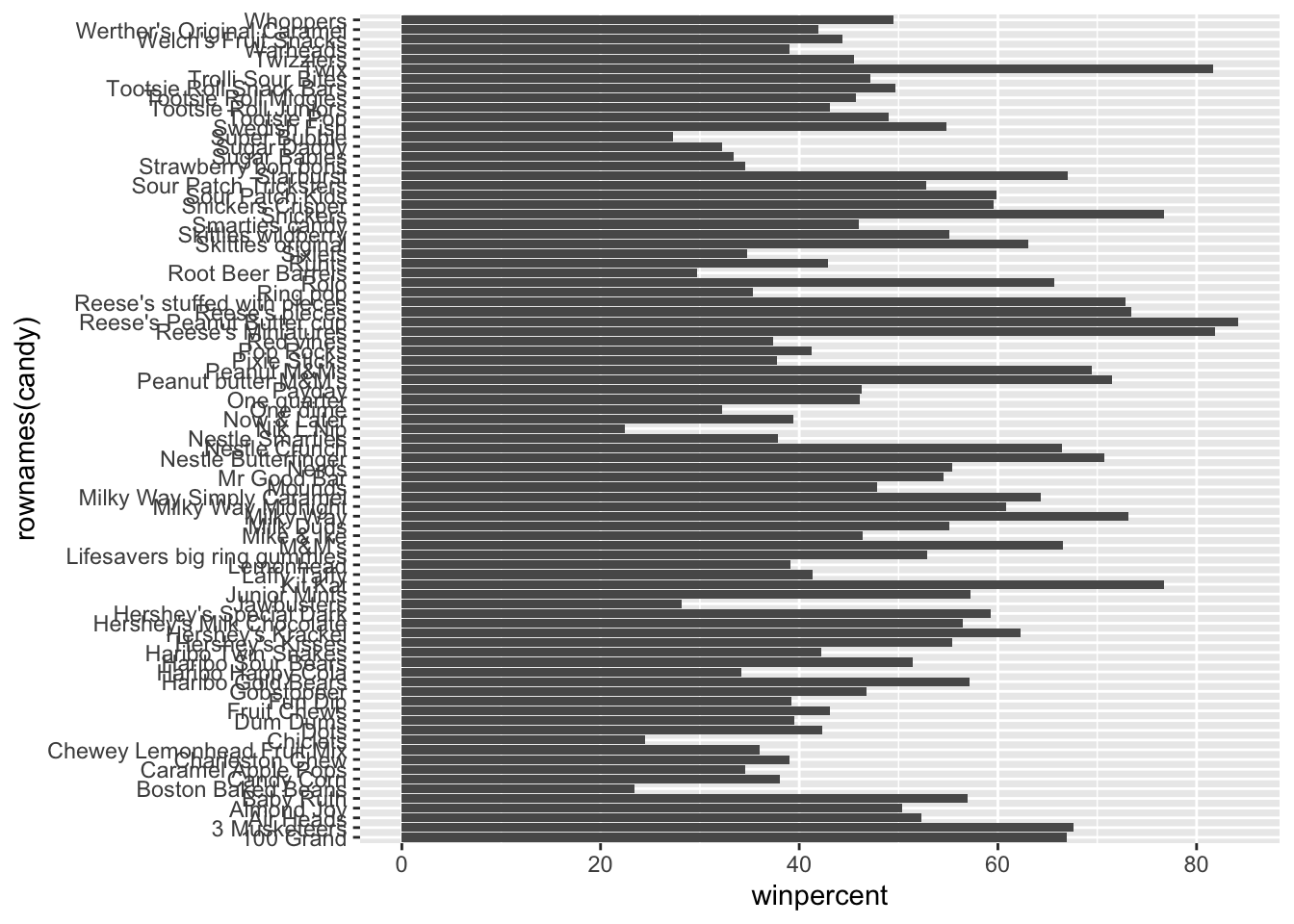
  1. Make a first barplot of candy ranking based on winpercent values.
ggplot(candy) +  aes(winpercent, rownames(candy)) +
  geom_col()

Q16. This is quite ugly, use the reorder() function to get the bars sorted by winpercent?

ggplot(candy) +  aes(winpercent, reorder(rownames(candy), winpercent)) +
  geom_col()

my_cols=rep("black", nrow(candy))
my_cols[as.logical(candy$chocolate)] = "yellow"
my_cols[as.logical(candy$bar)] = "brown"
my_cols[as.logical(candy$fruity)] = "lightblue"
ggplot(candy) + 
  aes(winpercent, reorder(rownames(candy),winpercent)) +
  geom_col(fill=my_cols) 

Q17. What is the worst ranked chocolate candy?

The worst ranked chocolate candy is the Sixlets

Q18. What is the best ranked fruity candy?

The best ranked fruity candy is Starburst

library(ggrepel)

# How about a plot of win vs price
ggplot(candy) +
  aes(winpercent, pricepercent, label=rownames(candy)) +
  geom_point(col=my_cols) + 
  geom_text_repel(col=my_cols, size=3.3, max.overlaps = 5)
Warning: ggrepel: 50 unlabeled data points (too many overlaps). Consider
increasing max.overlaps

Q19. Which candy type is the highest ranked in terms of winpercent for the least money - i.e. offers the most bang for your buck?

The candy is Reese’s Miniatures

Q20. What are the top 5 most expensive candy types in the dataset and of these which is the least popular?

ord <- order(candy$pricepercent, decreasing = TRUE)
head( candy[ord,c(11,12)], n=5 )
                         pricepercent winpercent
Nik L Nip                       0.976   22.44534
Nestle Smarties                 0.976   37.88719
Ring pop                        0.965   35.29076
Hershey's Krackel               0.918   62.28448
Hershey's Milk Chocolate        0.918   56.49050

The least popular and the most expensive is Nik L Nip

library(corrplot)
corrplot 0.95 loaded
cij <- cor(candy)
corrplot(cij)

Q22. Examining this plot what two variables are anti-correlated (i.e. have minus values)?

The chocolate and fruity variables are the most anti-correlated

Q23. Similarly, what two variables are most positively correlated?

The Win percent and chocolate is most positively correlated

Principal Component Analysis

pca <- prcomp(candy, scale=TRUE)

summary(pca)
Importance of components:
                          PC1    PC2    PC3     PC4    PC5     PC6     PC7
Standard deviation     2.0788 1.1378 1.1092 1.07533 0.9518 0.81923 0.81530
Proportion of Variance 0.3601 0.1079 0.1025 0.09636 0.0755 0.05593 0.05539
Cumulative Proportion  0.3601 0.4680 0.5705 0.66688 0.7424 0.79830 0.85369
                           PC8     PC9    PC10    PC11    PC12
Standard deviation     0.74530 0.67824 0.62349 0.43974 0.39760
Proportion of Variance 0.04629 0.03833 0.03239 0.01611 0.01317
Cumulative Proportion  0.89998 0.93832 0.97071 0.98683 1.00000
plot(pca$x[,1:2])

plot(pca$x[,1:2], col=my_cols, pch=16)

my_data <- cbind(candy, pca$x[,1:3])

p <- ggplot(my_data) + 
        aes(x=PC1, y=PC2, 
            size=winpercent/100,  
            text=rownames(my_data),
            label=rownames(my_data)) +
        geom_point(col=my_cols)

p

library(ggrepel)

p + geom_text_repel(size=3.3, col=my_cols, max.overlaps = 7)  + 
  theme(legend.position = "none") +
  labs(title="Halloween Candy PCA Space",
       subtitle="Colored by type: chocolate bar (dark brown), chocolate other (light brown), fruity (red), other (black)",
       caption="Data from 538")
Warning: ggrepel: 39 unlabeled data points (too many overlaps). Consider
increasing max.overlaps

library(plotly)

Attaching package: 'plotly'
The following object is masked from 'package:ggplot2':

    last_plot
The following object is masked from 'package:stats':

    filter
The following object is masked from 'package:graphics':

    layout
ggplotly(p)
ggplot(pca$rotation) +
  aes(PC1, reorder(rownames(pca$rotation), PC1)) +
  geom_col()

Q24. Complete the code to generate the loadings plot above. What original variables are picked up strongly by PC1 in the positive direction? Do these make sense to you? Where did you see this relationship highlighted previously?

The variables that were picked up strongly by PC1 in the positive value are Fruity, hard, and pluribus. They make sense based on the correlation graph because when comparing them together, they are shown to have positive correlation. This means that PC1 represents candies that are fruity, hard, and pluribus.