classwork for bimm143
Eric Wang A17678188
Pertussis (a.k.a. whooping cough) is a common lung infection caused by the B. Pertussis. It is a bacterial disease.
This can infect all ages but is most sever for those under 1 year of age.
The CDC track the number of reported cases in US:
We can “scrape” this data with the datapasta package
Q1. Use ggplot to make a plot of cases numbers over time.
cdc <- data.frame(
year = c(1922L,1923L,1924L,1925L,
1926L,1927L,1928L,1929L,1930L,1931L,
1932L,1933L,1934L,1935L,1936L,
1937L,1938L,1939L,1940L,1941L,1942L,
1943L,1944L,1945L,1946L,1947L,
1948L,1949L,1950L,1951L,1952L,
1953L,1954L,1955L,1956L,1957L,1958L,
1959L,1960L,1961L,1962L,1963L,
1964L,1965L,1966L,1967L,1968L,1969L,
1970L,1971L,1972L,1973L,1974L,
1975L,1976L,1977L,1978L,1979L,1980L,
1981L,1982L,1983L,1984L,1985L,
1986L,1987L,1988L,1989L,1990L,
1991L,1992L,1993L,1994L,1995L,1996L,
1997L,1998L,1999L,2000L,2001L,
2002L,2003L,2004L,2005L,2006L,2007L,
2008L,2009L,2010L,2011L,2012L,
2013L,2014L,2015L,2016L,2017L,2018L,
2019L,2020L,2021L,2022L,2023L,2024L,2025L),
cases = c(107473,164191,165418,152003,
202210,181411,161799,197371,
166914,172559,215343,179135,265269,
180518,147237,214652,227319,103188,
183866,222202,191383,191890,109873,
133792,109860,156517,74715,69479,
120718,68687,45030,37129,60886,
62786,31732,28295,32148,40005,
14809,11468,17749,17135,13005,6799,
7717,9718,4810,3285,4249,3036,
3287,1759,2402,1738,1010,2177,2063,
1623,1730,1248,1895,2463,2276,
3589,4195,2823,3450,4157,4570,
2719,4083,6586,4617,5137,7796,6564,
7405,7298,7867,7580,9771,11647,
25827,25616,15632,10454,13278,
16858,27550,18719,48277,28639,32971,
20762,17972,18975,15609,18617,
6124,2116,3044,7063,22538,21996)
)
head(cdc)
year cases
1 1922 107473
2 1923 164191
3 1924 165418
4 1925 152003
5 1926 202210
6 1927 181411
library(ggplot2)
ggplot(cdc) + aes(year, cases) + geom_point() + geom_line() + labs(x="Year", y = "Number of cases", title = "Pertussis Cases by Year (1922-2025")

Q. Add some jaor milestones including the first wP vaccine roll-out (1946), the switch to the newer aP vaccine 1996, the COVID years (2020)
ggplot(cdc) + aes(year, cases) + geom_point() + geom_line() + labs(x="Year", y = "Number of cases", title = "Pertussis Cases by Year (1922-2025") + geom_vline(xintercept=1946, col="lightblue", lty=2)+
geom_vline(xintercept=1996, col="lightyellow", lty=2) +
geom_vline(xintercept=2020, col= "green",lty = 2)

There were high case numbers in the pre 1940s, they were reduced dramatically due to the introduction of the first vaccine. After the the aP was introduced but it worked differently from wP. It introduced protection but it showed that the protect wore off faster than wP.
Why is this vaccine-preventable disease on the upswing? To answer this question we need to investigate the mechanisms underlying waning protection against pertussis. This requires evaluation of pertussis-specific immune responses over time in wP and aP vaccinated individuals.
Computational Models of Immunity - Pertussis Boost project aims to provide the scientific community with this very information.
They make their data available via JSON format returning API. We can
read this in R with the read_json() function from the jsonlite
package:
library(jsonlite)
subject <- read_json("https://www.cmi-pb.org/api/v5_1/subject", simplifyVector = TRUE)
head(subject)
subject_id infancy_vac biological_sex ethnicity race
1 1 wP Female Not Hispanic or Latino White
2 2 wP Female Not Hispanic or Latino White
3 3 wP Female Unknown White
4 4 wP Male Not Hispanic or Latino Asian
5 5 wP Male Not Hispanic or Latino Asian
6 6 wP Female Not Hispanic or Latino White
year_of_birth date_of_boost dataset
1 1986-01-01 2016-09-12 2020_dataset
2 1968-01-01 2019-01-28 2020_dataset
3 1983-01-01 2016-10-10 2020_dataset
4 1988-01-01 2016-08-29 2020_dataset
5 1991-01-01 2016-08-29 2020_dataset
6 1988-01-01 2016-10-10 2020_dataset
Q. How many wP and aP individuals are in this
subjecttable?
table(subject$infancy_vac)
aP wP
87 85
Q. What is the biolgoical sex breakdown?
table(subject$biological_sex)
Female Male
112 60
Q. What is the breakdown of race and biological sex
table(subject$race, subject$biological_sex)
Female Male
American Indian/Alaska Native 0 1
Asian 32 12
Black or African American 2 3
More Than One Race 15 4
Native Hawaiian or Other Pacific Islander 1 1
Unknown or Not Reported 14 7
White 48 32
Let’s read some more databse tables:
specimen <- read_json("https://www.cmi-pb.org/api/v5_1/specimen", simplifyVector = TRUE)
ab_titer <- read_json("https://www.cmi-pb.org/api/v5_1/plasma_ab_titer", simplifyVector = TRUE)
head(specimen)
specimen_id subject_id actual_day_relative_to_boost
1 1 1 -3
2 2 1 1
3 3 1 3
4 4 1 7
5 5 1 11
6 6 1 32
planned_day_relative_to_boost specimen_type visit
1 0 Blood 1
2 1 Blood 2
3 3 Blood 3
4 7 Blood 4
5 14 Blood 5
6 30 Blood 6
head(ab_titer)
specimen_id isotype is_antigen_specific antigen MFI MFI_normalised
1 1 IgE FALSE Total 1110.21154 2.493425
2 1 IgE FALSE Total 2708.91616 2.493425
3 1 IgG TRUE PT 68.56614 3.736992
4 1 IgG TRUE PRN 332.12718 2.602350
5 1 IgG TRUE FHA 1887.12263 34.050956
6 1 IgE TRUE ACT 0.10000 1.000000
unit lower_limit_of_detection
1 UG/ML 2.096133
2 IU/ML 29.170000
3 IU/ML 0.530000
4 IU/ML 6.205949
5 IU/ML 4.679535
6 IU/ML 2.816431
To analyze this data we need to first “join”(merge/link) the different tables so we have all the data in one place not spread across different tables.
We can use the *_join() family of functions from dplyr to do this.
library(dplyr)
Attaching package: 'dplyr'
The following objects are masked from 'package:stats':
filter, lag
The following objects are masked from 'package:base':
intersect, setdiff, setequal, union
meta <- inner_join(subject, specimen)
Joining with `by = join_by(subject_id)`
head(meta)
subject_id infancy_vac biological_sex ethnicity race
1 1 wP Female Not Hispanic or Latino White
2 1 wP Female Not Hispanic or Latino White
3 1 wP Female Not Hispanic or Latino White
4 1 wP Female Not Hispanic or Latino White
5 1 wP Female Not Hispanic or Latino White
6 1 wP Female Not Hispanic or Latino White
year_of_birth date_of_boost dataset specimen_id
1 1986-01-01 2016-09-12 2020_dataset 1
2 1986-01-01 2016-09-12 2020_dataset 2
3 1986-01-01 2016-09-12 2020_dataset 3
4 1986-01-01 2016-09-12 2020_dataset 4
5 1986-01-01 2016-09-12 2020_dataset 5
6 1986-01-01 2016-09-12 2020_dataset 6
actual_day_relative_to_boost planned_day_relative_to_boost specimen_type
1 -3 0 Blood
2 1 1 Blood
3 3 3 Blood
4 7 7 Blood
5 11 14 Blood
6 32 30 Blood
visit
1 1
2 2
3 3
4 4
5 5
6 6
abdata <- inner_join(ab_titer, meta)
Joining with `by = join_by(specimen_id)`
head(meta)
subject_id infancy_vac biological_sex ethnicity race
1 1 wP Female Not Hispanic or Latino White
2 1 wP Female Not Hispanic or Latino White
3 1 wP Female Not Hispanic or Latino White
4 1 wP Female Not Hispanic or Latino White
5 1 wP Female Not Hispanic or Latino White
6 1 wP Female Not Hispanic or Latino White
year_of_birth date_of_boost dataset specimen_id
1 1986-01-01 2016-09-12 2020_dataset 1
2 1986-01-01 2016-09-12 2020_dataset 2
3 1986-01-01 2016-09-12 2020_dataset 3
4 1986-01-01 2016-09-12 2020_dataset 4
5 1986-01-01 2016-09-12 2020_dataset 5
6 1986-01-01 2016-09-12 2020_dataset 6
actual_day_relative_to_boost planned_day_relative_to_boost specimen_type
1 -3 0 Blood
2 1 1 Blood
3 3 3 Blood
4 7 7 Blood
5 11 14 Blood
6 32 30 Blood
visit
1 1
2 2
3 3
4 4
5 5
6 6
Q. What antibody isotypes are measured for these patients?
table(abdata$isotype)
IgE IgG IgG1 IgG2 IgG3 IgG4
6698 7265 11993 12000 12000 12000
Q> What are the different $dataset values in abdata and what do you notice about the number of rows for the most “recent” dataset?
table(abdata$dataset)
2020_dataset 2021_dataset 2022_dataset 2023_dataset
31520 8085 7301 15050
It increased compared to the previous two years.
Q. What antigens are reported?
table(abdata$antigen)
ACT BETV1 DT FELD1 FHA FIM2/3 LOLP1 LOS Measles OVA
1970 1970 6318 1970 6712 6318 1970 1970 1970 6318
PD1 PRN PT PTM Total TT
1970 6712 6712 1970 788 6318
Let’s focus on the IgG isotype and make a plot of MFI_normalized for all antigens.
igg <- abdata %>% filter(isotype=="IgG")
head(igg)
specimen_id isotype is_antigen_specific antigen MFI MFI_normalised
1 1 IgG TRUE PT 68.56614 3.736992
2 1 IgG TRUE PRN 332.12718 2.602350
3 1 IgG TRUE FHA 1887.12263 34.050956
4 19 IgG TRUE PT 20.11607 1.096366
5 19 IgG TRUE PRN 976.67419 7.652635
6 19 IgG TRUE FHA 60.76626 1.096457
unit lower_limit_of_detection subject_id infancy_vac biological_sex
1 IU/ML 0.530000 1 wP Female
2 IU/ML 6.205949 1 wP Female
3 IU/ML 4.679535 1 wP Female
4 IU/ML 0.530000 3 wP Female
5 IU/ML 6.205949 3 wP Female
6 IU/ML 4.679535 3 wP Female
ethnicity race year_of_birth date_of_boost dataset
1 Not Hispanic or Latino White 1986-01-01 2016-09-12 2020_dataset
2 Not Hispanic or Latino White 1986-01-01 2016-09-12 2020_dataset
3 Not Hispanic or Latino White 1986-01-01 2016-09-12 2020_dataset
4 Unknown White 1983-01-01 2016-10-10 2020_dataset
5 Unknown White 1983-01-01 2016-10-10 2020_dataset
6 Unknown White 1983-01-01 2016-10-10 2020_dataset
actual_day_relative_to_boost planned_day_relative_to_boost specimen_type
1 -3 0 Blood
2 -3 0 Blood
3 -3 0 Blood
4 -3 0 Blood
5 -3 0 Blood
6 -3 0 Blood
visit
1 1
2 1
3 1
4 1
5 1
6 1
ggplot(igg) +
aes(MFI_normalised, antigen) +
geom_boxplot()

Q. Is there a differrence for aP vs wP individuals with these values
ggplot(igg) +
aes(MFI_normalised, antigen, col = infancy_vac) +
geom_boxplot()

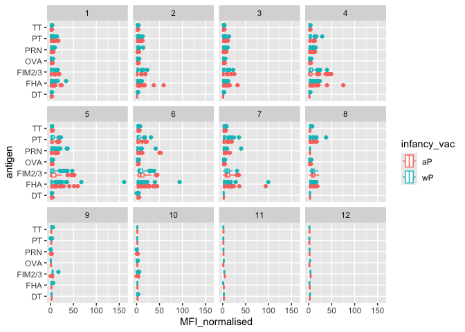
Q. Is there a temporal response - i.e. do values increase or decrease overtime?
ggplot(igg) +
aes(MFI_normalised, antigen, col = infancy_vac) +
geom_boxplot() + facet_wrap(vars(visit))

pt.igg.21 <- igg |> filter(antigen == "PT",
dataset== "2021_dataset")
ggplot(pt.igg.21) + aes(planned_day_relative_to_boost, MFI_normalised, col = infancy_vac, group = subject_id) + geom_point() + geom_line() + geom_vline(xintercept = 14, col = "darkgreen", lty=2)

abdata.21 <- abdata %>% filter(dataset == "2021_dataset")
abdata.21 %>%
filter(isotype == "IgG", antigen == "PT") %>%
ggplot() +
aes(x=planned_day_relative_to_boost,
y=MFI_normalised,
col=infancy_vac,
group=subject_id) +
geom_point() +
geom_line() + geom_smooth(
data = abdata.21 %>%
filter(isotype == "IgG", antigen == "PT"),
mapping = aes(
x = planned_day_relative_to_boost,
y = MFI_normalised,
color = infancy_vac
), se = FALSE,
linewidth = 1.5,
inherit.aes = FALSE, span = 0.4
)+
geom_vline(xintercept=0, linetype="dashed") +
geom_vline(xintercept=14, linetype="dashed") +
labs(title="2021 dataset IgG PT",
subtitle = "Dashed lines indicate day 0 (pre-boost) and 14 (apparent peak levels)")
`geom_smooth()` using method = 'loess' and formula = 'y ~ x'
